
저를 위한 공기역학 정리입니다! 앞으로 쓸 글은 유체역학, 동역학, 정역학, 열역학을 배웠다는 전제하에 쓸 예정이에요
1. Aerodynamics


첫째로 세상의 물질에는 크게 두가지로 볼 수 있다. 딱딱한놈과 그렇지 않은놈 즉 고체 or 액체,기체 즉 유체이다 앞으로 배울 것은 유체(Fluid)중 공기에 관한 학문을 정리할것이다.

저 t같은 기호는 타우라 읽고 이는 Shear Stress(전단 응력)이라 한다. 앞으로 그냥 Shear Stress라 할 예정 전공과목에서는 한글쓰는게 더 힘들다. 아무튼 Shear Stress란 물질의 표면에 흐르는 힘이라 보면 된다. 여기서 u같이 생긴것은 viscosity라 하고 이는 점성이라한다.
공기역학의 적용은 두 부분으로 나뉜다. 밖에있냐 안에있냐. 밖에 적용되는 경우는 Lift, Drag and 유체속에서 움직이는 물체의 Moment(날개, 비행기 등등), 건물, 배, 다리 등이 있고 내부에 적용되는 경우는 파이프나 터널같이 둘러쌓인곳에 흐르는 유체이다. 로켓엔진 및 제트엔진도 적용된다.
2. Aerodynamic forces and moment
몰체에 직접적으로 작용하는 유체역학적 힘은 두가지가있다. Pressure 와 Shear Stress가 있다.
Pressure는 지면의 방향에 대해 수직으로 작용하며, Shear stress는 지면의 방향에 접하는방향으로 작용한다.
Pressure와 Shear stress의 분포를 물체의 표면에 따라서 적분으로 표현하면 resultant aerodynamic force R 혹은 moment M으로 나타난다.

그렇다면 유속 v로 인해서 생기는 힘은 무엇일까?

답은 바로 Lift 와 Drag이다. 여기서 af는 Angle of Attack(AoA)로 한글로는 받음각이라한다. 저 사진에서 drag의 제곱과 lift의 제곱을 더해서 루트를 취해준것이 Resultant force R이다.
Lift는 양력으로 물체를 위로 띄워주는 힘이고 Drag는 항력으로 물체가 앞으로 나아가는 것을 방해하는 힘이다.

위는 에어포일의 구조이다. 사진에는 써있지 않지만 맨 앞은 Leading Edge라하고 맨 끝은 Trailing Edge라 한다. 또한 날개의 끝에서 끝의 거리를 chord라 하며 c라고 축약하여 포기한다.

여기서 좀더 들어가자면 날개에대한 힘 두가지를 유도할 수 있다. N은 Normal Force 라하고, A는 Axial Force라한다. N과 A가 이루는 R값은 Lift와 Drag가 이루는 R과 동일하다 위의 관계는 받음각에대한 삼각함수로 표현할 수 있다.


Normal force 와 Axial force는 날개의 윗면, 아랫면에 따라 다르다. 이는 다음과 같은 식으로 표현할 수 있다.
우선 날개 윗면에 대한 N,A를 표현하는 식은 다음과 같다.

여기서 𝛉는 어떻게 구할까? 이 𝛉는 날개의 좌표에 따른 dx, dy를 이용해 아크탄젠트 함수를 이용하여 구하면 된다. 날개의 형상을 x,y의 좌표로 구현한 Airfoil데이터를 이용해서 𝛉를 구한다. 그리고 S는 날개의 넓이이다. 날개 아랫면에 대한 힘도 다음과 같이 구하면 된다.

정리하면 날개 전체에 관해서 다음과 같은 힘을 얻을 수 있다.

이 두 힘을 통해서 Lift와 Drag을 구할 수 있다.
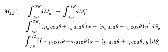
3. Moment

위의 사진은 Aerodynamic Center에 작용하는 Moment을 구하는 사진이다. 항공기 날개의 Moment는 다음과 같이 구할 수 있다.


이렇게 나온다. 물론 이것도 날개의 앞에서 뒤까지 적분하면 총 모멘트를 구할 수 있다.

4. Non-dimensional (dimensionless) quantities (무차원수)

무차원 수는 말그대로 차원이 없다. q infinity는 dynamic pressure로 이는 아래의 식과 동일하다.