코코의 행복한 개발도전기
이 영역을 누르면 첫 페이지로 이동
코코의 행복한 개발도전기 블로그의 첫 페이지로 이동
코코의 행복한 개발도전기
사이드바 열기
페이지 맨 위로 올라가기
코코의 행복한 개발도전기
기계전공자의 일상 잡다한 프로그래밍 고군분투를 다루고있습니다.
코코띵 블로그 정보 보기
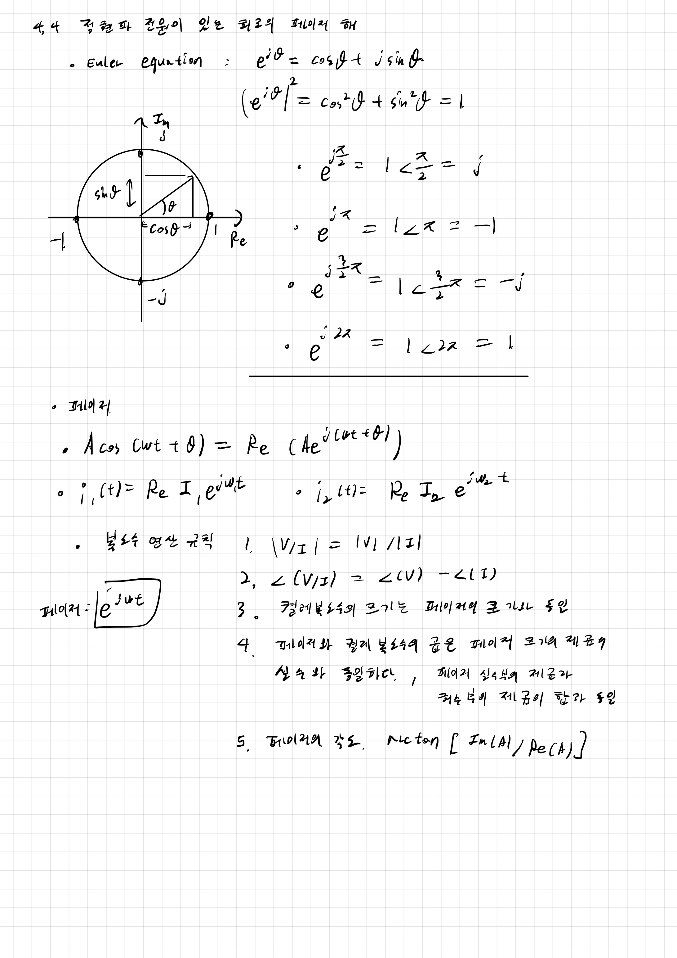
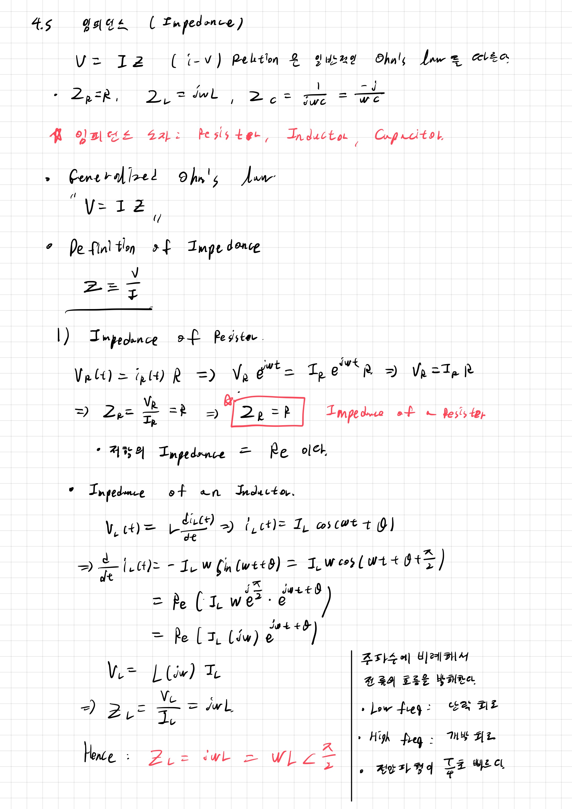
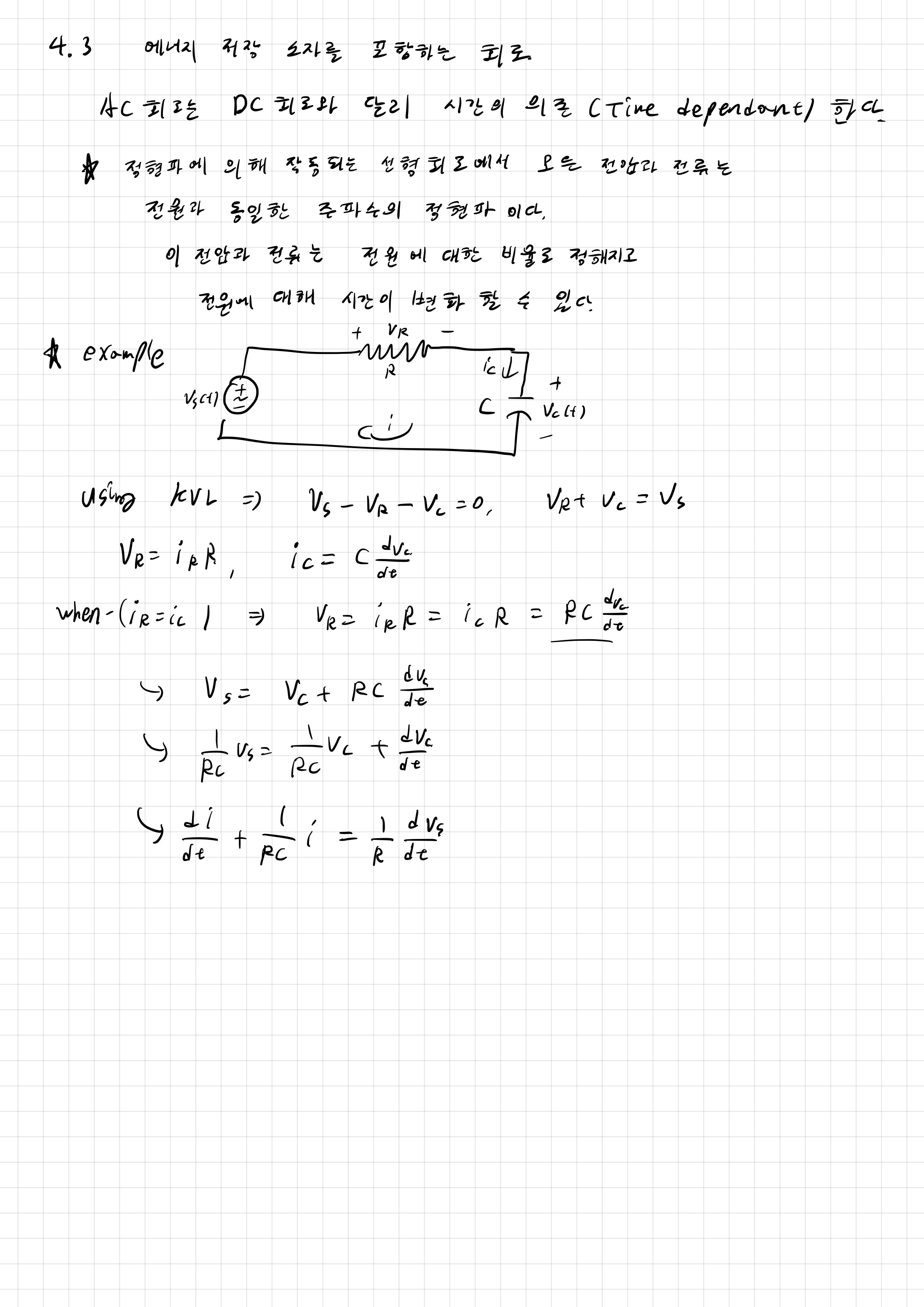
회로 기초 아이패드 필기
2021.03.01 01:15
공부들/전기전자공학 기초
글 작성자: 코코띵
공유하기
게시글 관리
코코의 행복한 개발도전기
저작자표시
(새창열림)
댓글
공유하기
다른 글
구독하기
구독하기
카카오톡
카카오톡
라인
라인
트위터
트위터
Facebook
Facebook
카카오스토리
카카오스토리
밴드
밴드
네이버 블로그
네이버 블로그
Pocket
Pocket
Evernote
Evernote
다른 글 더 둘러보기
코코의 행복한 개발도전기 블로그의 첫 페이지로 이동
코코의 행복한 개발도전기
티스토리툴바
코코의 행복한 개발도전기
구독하기